Unveiling Lead in Consumer Products in Low- and Middle-Income Countries: New Peer-Reviewed Research
Updated: April 29, 2024

At the World Economic Forum in January 2024, USAID Administrator Samantha Power highlighted lead poisoning as a top USAID priority, urging world leaders to invest in solutions. Administrator Power underscored a “proven playbook” for tackling lead poisoning, emphasizing its efficiency and affordability, particularly in addressing lead contamination in consumer products like paint, spices, and cosmetics.
In April 2024, Pure Earth’s new peer-reviewed research on lead in consumer products was published in Scientific Reports. Pure Earth, with support from Open Philanthropy, GiveWell, and the Effective Altruism Global Health and Development Fund, analyzed 5,007 samples across 25 low- and middle-income countries from 2021-2023. The results were alarming: 18% of samples exceeded relevant health guidelines or regulatory limits. Metal foodware (51%), ceramics (45%), paint (41%), toys (13%), and cosmetics (12%) were the most common culprits.

This research uncovered major sources of lead exposure historically overlooked, including metal foodware, ceramics, and cosmetics. Despite regulations in many countries, leaded paint remains prevalent, as confirmed by Rapid Market Screening data.
By shedding light on these pervasive sources, our findings present an opportunity for enhanced research, enforcement, and interventions to combat lead poisoning from consumer products.
Let’s take a deeper look at the Rapid Market Screening program.
Rapid Market Screening Program: Findings from Pure Earth’s novel research on lead in consumer products
The 2020 report The Toxic Truth, by Pure Earth and UNICEF, revealed that one in every three children have levels of lead in their blood that indicate lead poisoning. In low- and middle-income countries, one in two children are lead poisoned, suggesting that children are continually exposed to lead in their daily lives. Yet until recently, research into lead in consumer products in low- and middle-income countries has been limited.
With this in mind, Pure Earth set out to understand what consumer products might be contributing to this high prevalence of childhood lead poisoning in low- and middle-income countries. To conduct our research, Pure Earth selected 25 geographically diverse LMICs, with at least 1 country from each of the following World Bank-classified regions: Africa, Middle East and North Africa, East Asia and the Pacific, South Asia, Europe and Central Asia, and Latin America and the Caribbean.
The types of products sampled were chosen based on a literature review of lead concentrations in a variety of products in LMICs. These varied by country, but included ceramics, metal cookware, plastic foodware, cosmetics, toys, paints, spices, sweets, staple dry foods, and traditional and herbal medicines.
To collect the samples, investigators visited at least three to four cities per country. Study investigators then used portable X-ray fluorescence analyzers (XRF) to measure the lead content of each sample.
Below, we break down the findings of our research on the consumer products mentioned by Administrator Powers, as well as other types of products that we found to be commonly lead-contaminated.
Metal Foodware

Pure Earth’s results suggest that lead is common in metal foodware across all regions. Out of 520 samples, 51% had lead concentrations exceeding the reference level of 100 parts per million (ppm).
Most samples were made primarily of aluminum, although this category also included some items made from brass, copper and iron alloys. Pure Earth is currently conducting leaching tests on over 100 aluminum foodware samples to better understand the relationship between total lead levels and the amount of lead that leaches through use.
Early results indicate that exposures from this source could be substantial. Pure Earth will publish a subsequent report specifically detailing the findings of leaching tests in 2024.
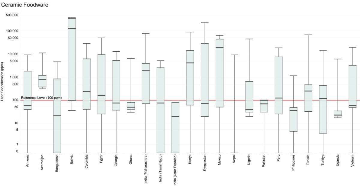
Ceramics

The findings revealed a higher prevalence and geographic distribution of lead in ceramic foodware than expected. Based on the study results, elevated lead levels in ceramic coatings such as glazes and paints are widespread across low- and middle-income countries.
Out of 308 samples of ceramics, 45% had lead concentrations exceeding the reference level of 100 parts per million (ppm). In 11 locations, the median sample exceeded the reference level, suggesting that contaminated items are common. In 25 of the study locations (all but Pakistan and Uttar Pradesh State, India), the maximum lead level was more than 10 times the reference level. The lead that was found was in the exterior glaze or decorative paint, not in the clay itself.
Challenges regarding the use of lead-based glazes have been well-documented in Mexico, and have been identified elsewhere, but this study shows a fairly uniform geographic distribution of contaminated items. Ceramics with high concentrations of lead were not limited to handmade, artisanal, or traditional pieces, but included mass-produced pieces that may have been imported to the country where they were purchased.
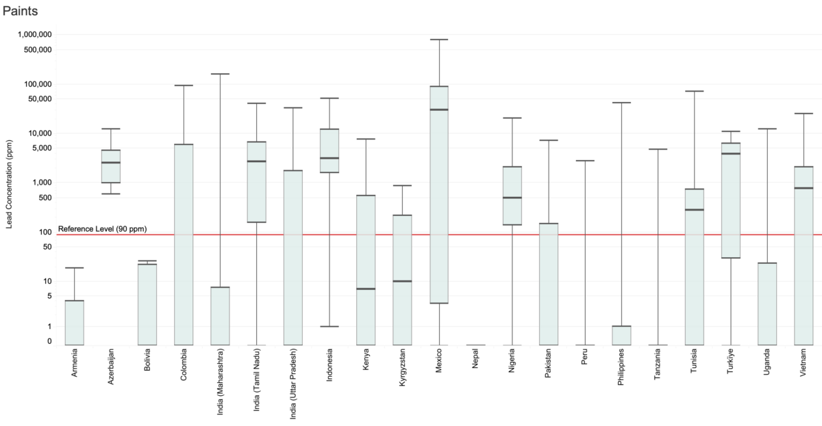
Paints

As of March 2023, 48% of countries in the world had legally binding controls on lead concentrations in paints. Many of these have adopted regulations based on a model law establishing a maximum lead concentration of 90 ppm. In total, 41% of the 437 samples of paint for large surfaces were above reference level of 90 ppm. Out of 70 samples of paint for crafts, art, and other specialty uses, 11% showed lead levels exceeding 90 ppm. Among 102 paint samples not classified, 47% showed lead concentrations exceeding 90 ppm.
Pure Earth’s findings suggest that many of the paint samples analyzed exceeding 90 ppm were collected from countries that have a 90 ppm regulatory limit. More than half of the study locations (14 of 27) had maximum lead concentrations exceeding 10,000 ppm, while 10 locations had samples exceeding 20,000 ppm. This suggests a considerable enforcement gap in these locations.
Cosmetics

Out of 812 cosmetics samples, 12% exceeded the reference level of 2 ppm. Elevated lead levels were identified across nearly all subcategories of cosmetics. The geographic distribution of contaminated cosmetics was also wide, with elevated lead levels found in 21 countries.
The two items with the highest lead concentrations were both eyeliners, known as kajal or kohl, from Pakistan. Lab results from these two products showed lead concentrations of 290,000 and 320,000 (equivalent to 29 and 32% lead, respectively). The item with the third highest concentration of lead (128,400 ppm) was a face paint intended specifically for children.
Among the samples with elevated lead levels, the most common item was nail polish (29 items), which had a maximum lead concentration of 6,751 ppm, followed by lipstick (15 items, maximum lead concentration of 42,350 ppm), and eyeshadow (13 items, maximum lead concentration of 974 ppm). Finally, lead levels above the reference level were also found in face powder, mascara, liquid foundation/concealer, and hair products.
Spices

Out of 1084 spice samples, 2% exceeded the reference level of 2 ppm. However, a high prevalence of elevated lead levels was found in spices from Uttar Pradesh State, India, and from Pakistan, with 12% and 9% of samples exceeding the relevant reference levels, respectively.
Lead contamination of spices from South Asia and Central Asia has been documented in the past, particularly in Bangladesh, where researchers from Stanford University and the Bangladesh health research institute, icddr,b, have documented producers adulterating turmeric with pigments containing lead chromate to improve the color of the product. Similarly, researchers in Georgia documented producers adulterating spices such as marigold with lead chromate.
More recent assessments have shown that spice contamination exists across South Asia. While samples from Nepal did not reveal elevated lead levels, the results suggest that both Pakistan and Northern India may have substantial challenges regarding spice contamination. In July 2023, Pure Earth, the Institute of Environment and Eco-Development (IEED), Vital Strategies and Mahavir Cancer Institute and Research Center convened a conference on lead poisoning in Bihar, India. Blood lead level testing results in Bihar showed that more than 96% of children in urban areas and over 88% of children in rural areas were lead poisoned. Household assessments in the area found that approximately 55% of consumer product samples collected contained high levels of lead, including spices such as turmeric.
Other countries are likely to have similar problems but were not reviewed as a part of the rapid market screening program. These countries include other Central Asia countries, as well as those in the Middle East and Northern Africa.
Pure Earth’s Key Recommendations
Administrator Power stressed that addressing lead contamination in consumer products is highly achievable. With adequate resources, we can effectively tackle this aspect of childhood lead poisoning. Below, Pure Earth presents 7 actionable steps to solve this issue.
- Blood lead level testing Governments and their development partners should explore and invest in ways to generate primary data on children’s blood lead levels so resources can be allocated appropriately, and so progress can be measured.
- Home-based source assessments Blood lead level surveys should be conducted in conjunction with in-home source analyses to establish connections between contaminated products and actual incidents of lead poisoning.
- Research into metallic and ceramic foodware leachability and use Research is needed to tell us concretely what lead dose a person is likely to receive from each use of a pot or pan. Field research is also needed to determine if lead contaminated foodware is used in settings where high concentrations of children could be exposed.
- Establish recommended limits for total lead in foodware Regulators should consider setting a maximum allowable concentration for total lead at the lowest achievable level. If exceptions are needed, regulations should force producers to demonstrate that products exceeding the allowable level would not leach lead into food under any condition.
- Track cosmetics to production sources There is a need to track commonly contaminated cosmetics to their production facilities and then work with governments and producers to eliminate lead use.
- Enact and enforce lead paint laws All governments should enact and enforce regulations limiting lead in paint and consider guidance provided in the UNEP Model Law And Guidance for Regulating Lead Paint developed by the Global Alliance to Eliminate Lead Paint. The Lead Exposure Elimination Project is focused on this.
- Replicate programs to eradicate spice adulteration Successful efforts to stop the adulteration of spices with lead-based pigments in Bangladesh and Georgia should be adapted to other countries with similar challenges, particularly Northern India and Pakistan, where recent assessments suggest a pattern of adulteration.
Lead in consumer products may be a significant contributor to the prevalence of childhood lead poisoning in low- and middle-income countries.
With greater funding for research, enforcement of regulations, education and awareness around avoiding lead-contaminated products, and monitoring of consumer products, these sources of lead exposure can be solved.
For further detail about the Rapid Market Screening program, read Rapid Market Screening to assess lead concentrations in consumer products across 25 low- and middle-income countries published in Scientific Reports.
Note: A previous version of this blog post listed findings from an earlier version of Pure Earth’s Rapid Market Screening program report published in September 2023. This blog post has since been updated with the peer-reviewed data published in Scientific Reports in April 2024.